Lorentz Transformation Generators
With an upper index. Generators of Lorentz transformation.

Solved Infinitessimal Generators An Infinitessimal Lorentz Chegg Com
The parity transformation P.

Lorentz transformation generators
. We have K_iK_j i epsilon_ijk L_k I fail to picture this. Here x0 x00x01x02x03 x x0x1x2x3 are the space-time coordi-nates of our inertial systems. Generators of Lorentz transformation - YouTube. For definiteness sake lets take a point vecx in my coordinate system lying in the O_xy plane.The proper transformations are a subgroup of the full group -- this is not true of the improper ones which among other things lack the identity. In very general terms the proper transformations are the continuously connected ones that form a Lie group the improper ones include one or more inversions and are not equal to the product of any two proper transformations. The fundamental Lorentz transformations which we study are the restricted Lorentz group L. The time-reversal transformation T.
Two-forms in Minkowski space-time may be considered as generators of Lorentz transformations. These are the Lorentz transformations that are both proper det 1 and orthochronous 00 1. Download to read the full article text. Generators of Lorentz transformation.
Every generator has two essential. The generators of the Translation and Lorentz Groups define the Lie Algebra of the Poincaré Group Lie Algebra. Lorentz transformations that preserve the direction of time are called orthochronous. The improper Lorentz transformations have determinant 1 The subgroup of proper Lorentz transformations is denoted SO13.
With this in mind let us review the. 5 Generators of L 7 6 Summary 9 1 Proper Lorentz Transforms Before we get started let us revise the Lorentz transformation between two equally oriented inertial systems moving with velocity valong the x1-axis. A general transformation like Lorentz boosts or spatial rotations and their in nitesimal counterparts these linearized transformations are the ones that are relevant to generators and hence to constants of the motion. With x0 ctcan write such transformation.
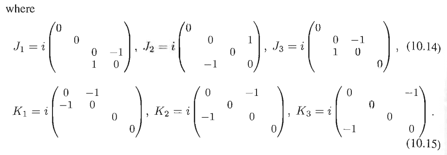
The subgroup of orthochronous transformations is often denoted O 13. Tag1 These are contravariant components ie. Thus the Lorentz group is a six-parameter group. There are three generators of rotations and three boost generators.
In the momentum space the angular momentum operator and the boost vector operator ie. Those that preserve orientation are called proper and as linear transformations they have determinant 1. In the Hamiltonian formalism the space-time transformation are realized via canonical transformation and the transformations are generated by Poisson brackets of certain functions of phase-space variables. Jmu nu -ixmupartialnu - xnupartialmu You need to be very careful about upper and lower indices here.
There are some elementary transformations in Lthat map one component into another and which have special names. For simplicity the expression is first obtained for complex generators then translated to real ones. X 0x 7x 0. Generalized vector space in this case space of the generators over a field R13 in this case with a Lie Bracket in physics usually commutation and.
I have always struggled to visualize the correctness of the commutation relation for the generators of the boost in the Lorentz group. The difference between boosting first in the x and then in the y direction and boosting first in the y. The generalization to four-dimensional Lorentz transformations is now quite natural. The transformation leaves invariant the quantity t 2 z 2 x 2 y 2.
The Lorentz group starts with a group of four-by-four matrices performing Lorentz transformations on the four-dimensional Minkowski space of t z x y. The generators for the Lorentz transformation of a particle with arbitrary spin and nonzero mass are discussed. Spacetime position is defined as the 4-vector xmuctxyz. So we start by establishing for rotations and Lorentz boosts that it is possible.
Here the covariant and general expression for the composition law BakerCampbellHausdorff formula of two Lorentz transformations in terms of their generators is obtained. Some new expressions are obtained in terms of the orbital and spin parts. General generator of the Lorentz transformation.
Matrix Representations Of The Poincare Group Physics Forums

The Lorentz Transformation Section 4 Every Event Has

Pdf Non Linear Lorentz Transformation And Doubly Special Relativity Semantic Scholar

Measuring Magnetic Flux Density For Beginners Youtube Physics Formulas Physics Electronic Engineering

How Would I Relate E I Omega Mu Nu J Mu Nu With Lorentz Transformation Matrix Mathematics Stack Exchange
Discussing The Mathematical Formalism Of Generators Lorentz Group Physics Forums

Hendrik Lorentz Hendrik Lorentz Nobel Prize In Physics Physicists
Posting Komentar untuk "Lorentz Transformation Generators"